Vamos a ver las Propiedades de la Potenciación para resolver esta Actividad.
PROPIEDADES DE LA POTENCIACIÓN
Multiplicación de potencias de igual base
El producto de dos o más potencias de igual a base «a» es igual a la potencia de base a y exponente igual a la suma de los exponentes respectivos.División de Potencias de Igual Base
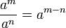
La división de dos potencias de igual base a es igual a la potencia de base a y exponente igual a la resta de los exponentes respectivos (la misma base y se restan los exponentes.Potencia de una potencia
La potencia de una potencia de base a es igual a la potencia de base a elevada a la multiplicación de ambos exponentes -






-
Potencia de un producto
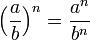
La potencia de un producto es igual a cada uno de los factores del producto elevados al exponente de dicha potencia. Es decir, una potencia de base (a.b) y de exponente "n", es igual al factor "a" elevado a "n" por el factor "b" elevado a "n"
Propiedad distributiva
La potenciación es distributiva con respecto a la multiplicación y a la división:
3. Aplicar las Propiedades de Potenciación y hallar los Resultados.




En la siguiente entrada continuamos con la Parte 4 















