El elefante a punto de la extinción
Publicado el 13 septiembre 2016 por Carmen Calabuig López
@revoltosa1952
El símbolo perpetuo de África ya no puede resistir más. Los elefantes africanos que en su momento poblaron la sabana más verde, bosques y las llanuras del continente con una estimación en población de alrededor 20 Millones, antes de la aparición de los europeos, se encuentran en un momento de conflicto extremo por su supervivencia.
? 
Un nuevo informe presenta unos resultados demoledores sobre la situación actual y futuro de uno de los mamíferos más bellos del mundo. El estudio Great Elephant Census presenta el primer informe panafricano completo que abarca 18 países y la cantidad de
elefantes ubicados en la sabana, determinando – por desgracia - su población descendió un 30%, alrededor de 144.000 elefantes desaparecieron entre 2007 y 2014. Con un ritmo y tasa de disminución en la población continuada del 8% por año se requieren medidas urgentes de actuación.En el mapa siguiente podemos ver las regiones en rojo donde la extinción del elefante está al borde del límite.

El estudio Great Elephant Census (GEC ) que han participado más de 90 científicos y ecologista expertos fue financiado por Paul Allen, filántropo y cofundador de Microsoft, y amparo por las mayores organizaciones del mundo en defensa de la fauna animal como; Wildlife Conservation Society, Elephants Without Borders, The Nature Conservancy, Frankfurt Zoological Society, African Parks Network entro otros, requiere una especial atención dada la magnitud, información y exactitud de los datos del mismo en un censo de la población de elefantes de tal calibre que ha sido desarrollado a lo largo de dos años.Actualmente, la población de elefantes se estima en 352.271 en los 18 países estudiados. “El continente africano puede haber sido el hogar de más de 20 millones antes de la colonización europea y, 1 millón tan recientemente como en la década de los 70”… según señala el informe. En la siguiente gráfica podemos ver la relación entre densidad - superficie con relación al número de elefantes.

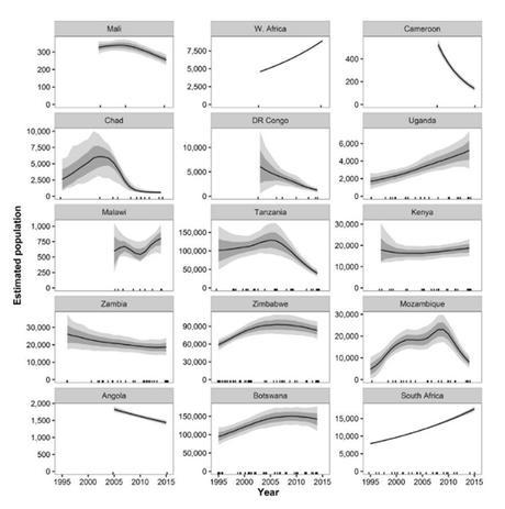
Si miramos por países, el crecimiento y decrecimiento desde 1995 a 2015 veremos que existen zonas de riesgo inminente:

Mientras se realizaba el informe fueron descubiertos muchos cadáveres de elefantes en las zonas protegidas y de reserva acotadas a lo largo del continente, lo que indica que no se están aplicando adecuadamente medidas eficientes contra el comercio de marfil y la caza furtiva, por lo que ciertas áreas de África están en riesgo de perder su totalidad de elefantes si no se actúa pronto.Los resultados del GEC muestran la necesidad de tomar medidas frente la prevención de la caza furtiva y la protección del hábitat. El futuro de los elefantes africanos de la sabana depende en última instancia de la determinación de los gobiernos, organizaciones de conservación y la mitigación de los conflictos entre humanos y elefantes… “Acabar con la caza furtiva es de vital importancia para la supervivencia de la especie” Aunque no es el único objetivo principal, dado que está entrando en juego la conservación de los hábitats naturales que están siendo expoliados por la mano del hombre a un ritmo devastador y que producen la migración de las manadas de elefantes fuera de las zonas protegidas aumentando el riesgo de los mamíferos ante los despreciables
cazadores furtivos.Hay que considerar que si ya existen esfuerzos para paliar el descenso del número de elefantes y están al borde de la desaparición… Qué pasaría si no actuáramos?.
Ecoportal.netEcosistemas Ovacen